El equipo de investigación desarrolló un nuevo enfoque con técnicas de análisis isotópico, combinadas con la aplicación de modelos, para analizar los aminoácidos (los componentes básicos de las proteínas) de los restos óseos y reconstruir así los patrones dietéticos con gran precisión.
Por Carmen Rodríguez
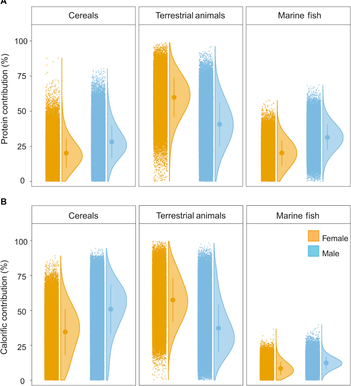
Madrid 29 de agosto (EFE).- La erupción del Vesubio en el año 79 arrasó Pompeya y la vecina Herculano. El análisis de los huesos de las víctimas ha permitido saber que en esta ciudad la dieta variaba según el sexo: pescado y cereales para los hombres, mientras que las mujeres consumían más huevos, lácteos y carne.
El análisis del colágeno de los restos óseos de once hombres y seis mujeres sugiere esas diferencias, que pueden tener su origen en las diferentes ocupaciones, prohibiciones culturales o restricciones dictadas por una distribución desigual del poder, según un estudio encabezado por la Universidad de York (Reino Unido) que publica Science Advances.
Los métodos de estudio empleados han permitido identificar el tipo de proteínas y calorías, pero no otros valores como el origen de las vitaminas o minerales que conformaban la dieta, explicó a Efe la autora principal del estudio Silvia Soncin, del departamento de Arqueología de la Universidad de York.
Pero además, en Herculano había un consumo "sorprendentemente alto" de aceite de oliva en comparación con hoy, aunque hay que tener en cuenta -dijo- que en aquella época era usado como un auténtico ingrediente más, mientras que ahora es un condimento.
Richtige Männer in Herculaneum vor 2000 Jahren aßen v.a. Fisch.
Frauen eher Fleisch. #geschichte #history #ernährung #essen #rom https://t.co/FzHTUdEWj6— alfred fischer (@alfredfischer17) August 27, 2021
Diversas fuentes históricas ya habían sugerido el distinto acceso a los alimentos en la antigua Roma, pero no había información suficiente para respaldarlo, sin embargo, este estudio con participación de la Universidad Autónoma de Barcelona, reconstruye la dieta con una resolución sin precedentes.
En Herculano, los hombres obtenían un 50 por ciento de las proteínas de alimentos salidos del mar y comían una proporción mayor de cereales que las mujeres. Además, obtenían 1.6 veces más proteínas alimentarias de los productos marinos que las mujeres.
Soncin acotó que, en el caso de las mujeres, observaron una mayor contribución proteica y calórica de productos animales, los cuales, más que carne, debían de ser lácteos y huevos, si se tiene en cuenta lo que refieren las fuentes históricas sobre la vida en aquella época.
Además, su alimentación también podía incluir más proteínas procedentes de legumbres, frutos secos o verdura cultivada localmente, señala la investigación, aunque los datos no lo pueden precisar.
Las "diferencias significativas" entre las proporciones de alimentos marinos y terrestres implicaban que "el acceso a la comida estaba diferenciado según el género", destacó el líder del equipo Oliver Craig, citado por la Universidad de York.
El mayor consumo de pescado por parte de los hombres puede responder a varios motivos, destacó Soncin. Ellos tenían un papel más prestigioso en la sociedad y si eran esclavos lograban la libertad más jóvenes, hacia los 30 años (las mujeres, si lo lograban, era en torno a los 40) por lo que podían conseguir poder económico antes.

Además, los hombres se dedicaban, mucho más que las mujeres, a actividades relacionadas con la pesca. "Estos tres factores juntos, posiblemente explican por qué vemos una mayor contribución de las proteínas del pescado en su alimentación".
Los análisis han revelado algunas diferencias dentro del mismo sexo, más entre los hombres que en las mujeres, pero no se pueden establecer los motivos, pues, en este caso, no existen elementos que den pistas sobre la clase social u otras diferencias de cada uno de los individuos.
No es fácil saber si estos resultados se puedan extrapolar o solo reflejan las costumbres de aquella área geográfica. "El golfo de Nápoles -recordó- era un sitio afortunado en el contexto del Imperio Romano, debido a su centralidad en el sistema de producción agrícola y comercial del Mediterráneo".
Los investigadores realizaron su trabajo en Herculano, donde vivían unos 5.000 habitantes, más pequeña y menos conocida que Pompeya, y no fue una decisión casual.
La erupción del Vesubio hizo que buena parte de sus habitantes buscaran refugio en los fornici, unas construcciones abovedadas junto a la antigua playa que servían como almacenes comunales o para guardar las barcas. En aquellos lugares cientos de personas encontraron la muerte.
Aunque "Pompeya ha proporcionado muchísimos restos humanos de gran valor arqueológico, las poblaciones de la playa de Herculano son un caso excepcional para observar las diferencias, es como si fuera una población 'viviente'", destacó la experta.

Estos restos humanos ofrecen "una rara instantánea arqueológica de una población antigua sin los sesgos, basados en el privilegio y la clase, que pueden limitar la información obtenida de los cementerios", señala el estudio.
El equipo desarrolló para sus investigaciones un nuevo enfoque con técnicas de análisis isotópico, combinadas con la aplicación de modelos, para analizar los aminoácidos (los componentes básicos de las proteínas) de los restos óseos y reconstruir así los patrones dietéticos con gran precisión.




